Para entregar na próxima aula (30/03)
Descreva uma doença provocada por uma anomalia cromossômica, enfatizando o mecanismo genético que leva a ocorrência da patologia.
Este blog foi feito para os alunos de Genética dos cursos de Ciências Biológicas e de Odontologia da Universidade Veiga de Almeida. O responsável é Marcelo Aguiar Costa Lima, biólogo com Bacharelado (UFRJ), Mestrado (UFRJ) e Doutorado (UFRJ) em Ciências Biológicas, na modalidade Genética. http://lattes.cnpq.br/7864985542636759 ESCLAREÇO QUE ESTE BLOG NÃO É PARA PRESTAÇÃO DE SERVIÇOS. SERVE PARA APOIO DE CONTEÚDO MINISTRADO EM SALA DE AULA.
sábado, 24 de março de 2012
terça-feira, 20 de março de 2012
GENÉTICA MOLECULAR - BIOLOGIA - DATAS IMPORTANTES
ESTUDO DIRIGIDO 01 - 02 DE ABRIL
PROVA 01 - 09 DE ABRIL
ESTUDO DIRIGIDO 02 - 04 DE JUNHO
PROVA 02 - 11 DE JUNHO
SEGUNDA CHAMADA - 18 DE JUNHO
PROVA FINAL - 25 DE JUNHO
NOTA 1 = ATIVIDADES 1 E 2 (0,5 CADA) + ED01 (2,0) + PROVA 01 (7,0)
NOTA 2 = ATIVIDADES 3 E 4 (0,5 CADA) + ED02 (2,0) + PROVA 02 (7,0)
SEGUNDA CHAMADA = 7,0 (SUBSTITUI A NOTA DA PROVA PERDIDA)
PROVA FINAL = 10,0
PROVA 01 - 09 DE ABRIL
ESTUDO DIRIGIDO 02 - 04 DE JUNHO
PROVA 02 - 11 DE JUNHO
SEGUNDA CHAMADA - 18 DE JUNHO
PROVA FINAL - 25 DE JUNHO
NOTA 1 = ATIVIDADES 1 E 2 (0,5 CADA) + ED01 (2,0) + PROVA 01 (7,0)
NOTA 2 = ATIVIDADES 3 E 4 (0,5 CADA) + ED02 (2,0) + PROVA 02 (7,0)
SEGUNDA CHAMADA = 7,0 (SUBSTITUI A NOTA DA PROVA PERDIDA)
PROVA FINAL = 10,0
segunda-feira, 19 de março de 2012
GENÉTICA MOLECULAR - BIOLOGIA - AULA 04
TIPOS
DE RNA E PROCESSAMENTO
O processo de transcrição leva a formação das moléculas de
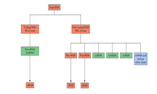
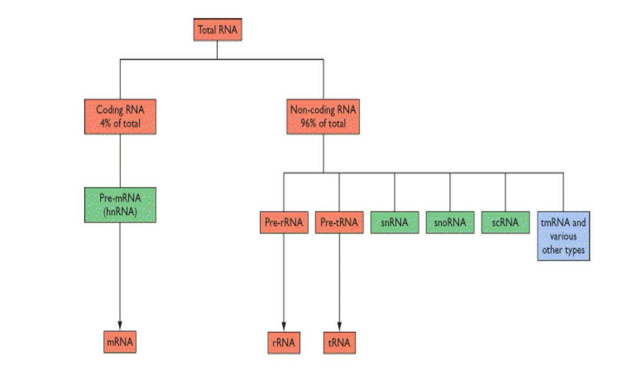
RNA. Podemos agrupar os RNAs em dois grupos gerais: 1) os RNAs informacionais
(codificadores) e os 2) RNAs não codificadores. A fração majoritária,
correspondendo a cerca de 96% do RNA total de uma célula consiste em moléculas
não codificadoras. Apenas algo em torno de 4% do conteúdo de RNA é referente ao
RNA informacional (mensageiro). Apesar de ocorrer proporcionalmente em menor
escala, o mensageiro tem um papel imprescindível à vida da célula, visto que é
o responsável por carrear a informação contida na molécula de DNA (lembrando
que a informação está no filamento codificador do DNA).
Diversos tipos de RNA vão ser sintetizados pela célula. Na
maior parte dos casos, a molécula gerada no processo de transcrição ainda não é
a molécula com atividade funcional, consistindo de um precursor que requer
modificações para adquirir seu estado biologicamente ativo. Ao conjunto de
modificações sofrida pelos RNAs chamamos processamento.
Os tipos mais comuns de RNA são os RNAs mensageiro (mRNA),
ribossomal (rRNA) e transportador (tRNA). Estas moléculas ocorrem em todos os organismos
celulares, sendo indispensáveis à vida. Além destes, há ainda uma série de RNAs
de ocorrência restrita a eucariontes (e.g. snoRNA) ou procariontes (e.g.
tmRNA).
vermelho – ocorre em procariontes e eucariontes
verde – exclusivo de eucariontes
azul – exclusivo de procariontes
RNA’s informacionais
mRNA – carrega a informação genética para os ribossomos
(expressão gênica).
Procariotos:
transcrito primário = mRNA
Eucariotos:
transcrito primário = pré-mRNA ou hnRNA (RNA heterogêneo nuclear).
RNA’s não informacionais
rRNA – constitui, junto com proteínas, os ribossomos;
tRNA – transporta aminoácidos para os ribossomos.
snRNA – junto com proteínas constituem as snRNP,
responsáveis pela remoção dos introns
Outros – snoRNA (RNA pequeno nucleolar), siRNA (RNA de
interferência), gRNA (RNA guia), scRNA (RNA pequeno citoplasmático), tmRNA (RNA
de transferência-mensageiro).
mRNA (RNA mensageiro)
Molécula mensageira que carreia a
informação presente no DNA para o ribossomo.
Ao conjunto de mensageiros expressos denominamos Transcriptoma.
.Em eucariontes o mRNA é sintetizado na forma
de uma molécula precursora, chamada pré-mRNA ou hnRNA (heterogêneo nuclear
RNA). Esta molécula possui dois tipos de sequência na sua região codificadora.
Os exons, que possuem informações que deverão estar presentes no mensageiro, e
os introns, que não possuem informações requeridas para a produção de proteínas.
Durante sua maturação o hnRNA sofre uma série de modificações ainda dentro do núcleo,
formando o RNA mensageiro biologicamente ativo.
rRNA (ribosomal RNA)
Os rRNAs, juntamente com proteínas, formam
os ribossomos – estruturas supramoleculares responsáveis pela síntese proteica.
Caracteristicamente os rRNAs apresentam estrutura secundária complexa.
Os ribossomos são constituídos de 2
subunidades: maior e menor. Apesar de estruturalmente serem semelhantes, os
ribossomos procarionte e eucarionte diferem no tipo de rRNA e proteínas que os
compõe.
Os ribossomos procariontes apresentam
coeficiente de sedimentação 70S (S é a unidade de sedimentação, denominada Svedberg) e possuem uma sub unidade
maior (50S) que contém os rRNAs 23S e 5S. Já a subunidade menor possui
coefidiente de sedimentação 30S, tendo o rRNA 16S.
Nos eucariontes, os ribossomos tem
coeficiente de sedimentação 80S, apresentando na sub unidade maior (60S) os
rRNAs 28S, 5.8S e 5S e na sub unidade menor (40S) o rRNA 18S.
tRNA (RNA transportador ou de transferência)
Os RNAs transpostadores são as moléculas adaptadoras do processo de síntese proteica. São responsáveis pelo carreamento dos aminoácidos do citoplasma para o sítio de produção das proteínas, que localiza-se no retículo endoplasmático rugoso nas células eucariontes e no próprio citosol, nas cercanias do material genético, nas bactérias.
São ao menos vinte tipos de moléculas, que apresentam um elevado grau de especificidade funcional: cada tRNA leva o seu aminoácido específico, de forma a alocá-lo na cadeia polipeptídica que está sendo sintetizada.
Os tRNAs apresentam uma extensão curta, de cerca de 70 nucleotídeos, e possuem uma estrutura secundária bastante característica, denominada estrutura em trevo. São identificados quatro braços constantes e um braço variável:
1) braço aceptor - tronco com 7 nucleotídeos, que possui a extremidade 3'-CCA e é o local onde será ligado o aminoácido a ser carreado;
2) braço da dihidrouridina ou braço D - tronco com 4 nucleotídeos terminando numa alça que contém diidrouridina (DHU);
3) braço do anti-códon - tronco com 5/6 nucleotídeos diametralmente oposto ao braço aceptor, possui os três nucleotídeos que irão interagir com os códons (triplets) do mRNA para alocação do aminoácido específico na cadeia polipeptídica emergente;
Remoção dos introns (splicing)
As sequências presentes na molécula de hnRNA que não possuem informação a ser utilizada na síntese das proteinas é removida a partir da atividade dos snRNAs, os RNAs pequenos nucleares. Segundo a regra GT/AG, para que o processo ocorra algumas regiões do intron devem ser identificadas: o dinucleotídeo GU na extremidade 5' do intron; o dinucleotídeo AG na extremidade 3' do intron e uma sequência polipirimidínica adjacente ao dinucleotídeo AG, na porção interna do intron.
Os RNAs transpostadores são as moléculas adaptadoras do processo de síntese proteica. São responsáveis pelo carreamento dos aminoácidos do citoplasma para o sítio de produção das proteínas, que localiza-se no retículo endoplasmático rugoso nas células eucariontes e no próprio citosol, nas cercanias do material genético, nas bactérias.
São ao menos vinte tipos de moléculas, que apresentam um elevado grau de especificidade funcional: cada tRNA leva o seu aminoácido específico, de forma a alocá-lo na cadeia polipeptídica que está sendo sintetizada.
Os tRNAs apresentam uma extensão curta, de cerca de 70 nucleotídeos, e possuem uma estrutura secundária bastante característica, denominada estrutura em trevo. São identificados quatro braços constantes e um braço variável:
1) braço aceptor - tronco com 7 nucleotídeos, que possui a extremidade 3'-CCA e é o local onde será ligado o aminoácido a ser carreado;
2) braço da dihidrouridina ou braço D - tronco com 4 nucleotídeos terminando numa alça que contém diidrouridina (DHU);
3) braço do anti-códon - tronco com 5/6 nucleotídeos diametralmente oposto ao braço aceptor, possui os três nucleotídeos que irão interagir com os códons (triplets) do mRNA para alocação do aminoácido específico na cadeia polipeptídica emergente;
4) braço da pseudouridina ou TΨC - tronco com 5 nucleotídeos
contendo a sequência TΨC (onde Ψ é uma pseudouridina);
5) braço variável - tronco de 3
A ligação entre o tRNA e o aminoácido é realizada por uma enzima denominada aminoaciltRNA sintetase. esta enzima reconhece a extremidade 3' do tRNA, na região que apresenta o trinucleotídeo CCA, para conectar, com gasto energético (1 ATP), o aminoácido ao tRNA. Esta enzima garante a especificidade na ligação e o sucesso na alocação correta dos componentes da proteína a ser sintetizada.
snRNA (RNA pequeno nuclear)
Classe de moléculas encontrada no núcleo, possuem extensão diminuta (cerca de 60 nucleotídeos) e um conteúdo elevado de uracila (de cerca de 50-60%, o que os leva a serem denominados Un, onde n é um número designado de acordo com a ordem de descoberta). Associados à proteínas específicas, os snRNAs formam as snRNPs
(ribonucleoproteínas nucleares pequenas), sendo responsáveis pela remoção dos introns do hnRNA.
PROCESSAMENTO
Os diferentes tipos de RNA (ribossomal, transportador e mensageiro) são produzidos como moléculas precursoras (pré-RNAs) que necessitam sofrer modificações para atingir o estado maduro. Nos procariontes e eucariontes, tRNA e rRNA sofrem alterações semelhantes. Já o hnRNA somente ocorre em células eucariontes, o que leva a não haver processamento do mRNA nas bactérias. Lembramos aqui que, como não há compartimentalização nas bactérias, o transcrito é produzido no mesmo local onde ocorre a síntese de proteínas. Assim, os processos de transcrição e tradução são virtualmente simultâneos: conforme o mRNA é produzido, ocorre sua decodificação.
rRNA
Os genes codificadores de RNA ribossomal caracteristicamente se apresentam repetidos múltiplas vezes no genoma da célula. São compostos por sequências intercalonadoras (denominadas espaçadores intragênicos) que separam as regiões codificadoras de diferentes rRNAs. O processamento destas unidades consiste basicamente na clivagem das sequências intercalonadoras, que são degradadas, com liberação dos rRNAs maduros.
Um aspecto curioso em relação aos genes de rRNA é o fato de conterem também informação codificadora de alguns tRNAs.
tRNA
Assim como no rRNA, a codificação dos tRNA ocorre em unidades transcricionais que codificam a informação de diversas moléculas. O processamento inclui, além da clivagem por RNAses, a adição de uma sequência trinucleotídica (CCA) na extremidade 3', que será o alvo de ação das aminoaciltRNA sintetases. A enzima responsável pela adição do trinucleotídeo CCA é a nucleotidil tRNA transferase.
hnRNA
O processamento mais complexo é o que ocorre na molécula precursora do mRNA. Três grandes alterações são requeridas para que o RNA hetergêneo nuclear atinja o estado maduro, passando a ser designado RNA mensageiro. Lembre-se que o hnRNA é exclusivo de eucariontes!!!
As modificações são:
Consiste na adição à extremidade 5' de um nucleotídeo quimicamente modificado, a 7-metil guanosina (7mG). A 7mG é adicionada pela enzima guanilil transferase em uma ligação 5'- 5' atípica (lembramos que os nucleotídeos são usualmente ligados através de grupamentos hidroxila 3' e fosfato 5'). Como esta ligação é 5'-5', temos uma ligação envolvendo dois fosfatos na extremidade do hnRNA.
Consiste na adição, na extremidade 3', de uma sequência contendo de 100 a 300 adeninas, constituindo uma estrutura denominada cauda poliA. A enzima responsável pela adição da cauda poliA é a poliApolimerase.
As sequências presentes na molécula de hnRNA que não possuem informação a ser utilizada na síntese das proteinas é removida a partir da atividade dos snRNAs, os RNAs pequenos nucleares. Segundo a regra GT/AG, para que o processo ocorra algumas regiões do intron devem ser identificadas: o dinucleotídeo GU na extremidade 5' do intron; o dinucleotídeo AG na extremidade 3' do intron e uma sequência polipirimidínica adjacente ao dinucleotídeo AG, na porção interna do intron.
O intron é removido na forma de laço (lariat) e degradado para reutilização dos nucleotídeos. Concluída a remoção dos introns a molécula de RNA mensageiro formada apresenta um CAP na extremidade 5' (a 7-metil guanosina), uma cauda poliA na extremidade 3' e somente exons compõe sua sequência. Ressalto qe somente após sofrer estas modificações o transcrito está habilitado a ser exportado para o citoplasma.
1)1 - Discuta a importância da complementaridade entre as bases nitrogenadas
2)2 - Discuta a importância da atividade exonucleásica exibida pelas DNA polimerases
3)3 - Liste os eventos relacionados ao processamento dos principais tipos de RNA, explicando o que ocorre em cada um deles.
Assinar:
Postagens (Atom)









